Hóa chất Toluene được ứng dụng nhiều trong các ngành công nghiệp của thế giới nhờ cấu tạo tương đồng với benzen - một hợp chất hữu cơ được sử dụng nhiều trong sản xuất dược phẩm hay chất quan trọng phục vụ cho nhu cầu của con người.
Hóa chất Toluene là gì? Tính chất hóa học
Hóa chất Toluene là một dạng chất lỏng khúc xạ, trong suốt, không màu, độ bay hơi cao, không tan trong cồn, có mùi thơm nhẹ, ether, acetone và hầu hết là các dung môi hữu cơ khác, tan ít trong nước.
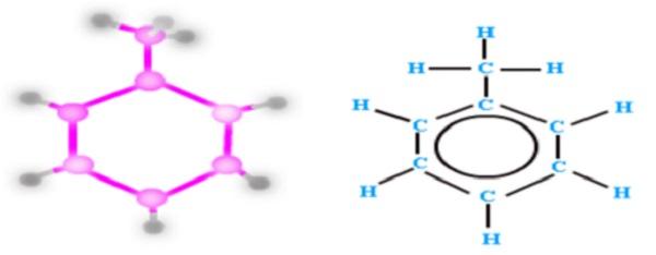
Công thức cấu tạo của Toluene
Công thức cấu tạo của Toluene là C7H8.

Công thức cấu tạo của Toluene
Ứng dụng của Toluene
Hóa chất Toluene có nhiều ứng dụng trong ngành công nghiệp như:
Sơn bề mặt
Toluene được dùng chủ yếu trong các ứng dụng cần hòa tan và khả năng bay hơi cao nhất như sản xuất nhựa tổng hợp, sơn xe hơi, sơn vật dụng trong nhà, sơn quét và sơn tàu biển.
Bên cạnh đó, sơn bề mặt cũng được sử dụng làm chất pha loãng và là một thành phần trong sản phẩm tẩy rửa.

Hóa chất Toluen có thể dùng tạo ra sơn tường, sơn nhà,…
Keo dán
Do có khả năng hòa tan mạnh nên hóa chất Toluene được dùng trong sản xuất keo dán và các sản phẩm cùng loại như keo dán cao su hay xi măng cao su.
Phụ gia cho nhiên liệu
Hóa chất Toluene được dùng làm chất cải thiện các chỉ số Octane của xăng dầu và làm chất mang phụ gia cho nhiên liệu. Theo thông thường, khi thêm một lượng tương đối nhỏ hóa chất Toluene vào xăng dầu sẽ làm tăng chỉ số Octane của nhiên liệu.
Các ứng dụng khác của hóa chất Toluene
Do công thức cấu tạo của Toluene khá giống với Benzen nên hóa chất này có thể được ứng dụng trong các ngành:
- Sản xuất thuốc nhuộm.
- Y khoa.
- Sản xuất nước hoa.
- Sản xuất mực in.
Một số lưu ý khi sử dụng hóa chất Toluene
Để tránh bị nhiễm độc do Toluene gây ra, chúng ta cần phải lưu ý một số điều sau khi sử dụng:
Không nên tiếp xúc với cơ thể
- Hóa chất Toluene cần phải để trong kho có mái che và tránh đặt những nơi có nhiệt độ cao trên 50 độ và tránh để những nơi dễ gây cháy nổ.
- Rửa tay ngay khi bị hóa chất văng vào mắt, da với nhiều nước và xà phòng. Đặt hóa chất tránh xa tầm tay trẻ em.
- Không tiếp xúc quá nhiều với hóa chất với Toluene do có chứa chất gây ung thư, gây hại đến thần kinh trung ương, kích ứng da, ảnh hưởng đến hệ hô hấp khi tiếp xúc trực tiếp.
Hạn chế khả năng cháy nổ
Dung môi Toluene rất dễ cháy, thậm chí có thể cháy nổ ở nhiệt độ nhất định. Các loại thùng phuy chứa hóa chất sau khi sử dụng vẫn còn sót lại những dung môi nên khả năng gây cháy khá cao nếu không được tăng áp suất.

Những thùng chứa dung môi Toluene vẫn có khả năng gây cháy nổ nếu không có cách xử lý phù hợp
Toluene có độc không?
Toluene chính là đồng đẳng của Benzen, có cấu tạo và tính chất hóa học tương đồng với Benzen. Vì vậy, hóa chất Toluene khá độc và chúng ta không nên tiếp xúc trực tiếp.
Theo tài liệu nghiên cứu, khi tiếp xúc với Benzen và các đồng đẳng như hóa chất Toluene, người tiếp xúc sẽ bị nhiễm độc. Tùy thuộc vào các triệu chứng mà chúng ta có thể phân ra các loại sau:
Nhiễm độc cấp tính
Biểu hiện của tình trạng này là kích ứng da, mắt và đường hô hấp có các triệu chứng đau đầu, chóng mặt, buồn nôn, thậm chí tử vong,… Diễn biến tùy theo nồng độ Toluene và Benzen trong môi trường lao động cũng như thời gian tiếp xúc.
Nhiễm độc mạn tính
Nồng độ Toluene trong môi trường lao động nếu vượt quá giới hạn tiếp xúc ca làm việc theo tiêu chuẩn vệ sinh cho phép sẽ khiến người lao động bị nhiễm độc mạn tính. Triệu chứng của các tình trạng này có thể kể đến như sau:
- Rối loạn cơ quan tạo máu không ác tính: Tăng hoặc giảm sản tế bào màu kèm một vài triệu chứng khác.
- Bệnh lý não mạn tính (do nhiễm độc dung môi hữu cơ, bao gồm Toluene và Xylen): Trầm cảm, dễ cáu giận, giảm tập trung chú ý, giảm trí nhớ,… ảnh hưởng đến hoạt động xã hội hoặc kỹ năng công việc.
- Gan to.
- Tổn thương ống thận.
- Tổn thương tim mạch
Vì những tính nguy hiểm nên khi sử dụng hóa chất này, doanh nghiệp cần phải cẩn thận và áp dụng những cách bảo quản theo quy trình nghiêm ngặt.
Hoá chất Nam Bình chúng tôi tự hào là nhà nhập khẩu và phân phối sỉ Toluene chất lượng cao, đáp ứng nhu cầu của nhiều ngành công nghiệp khác nhau. Với mức giá cạnh tranh và sản phẩm đảm bảo chất lượng chúng tôi cam kết mang đến giải pháp tối ưu cho doanh nghiệp của bạn.
Đội ngũ tư vấn và dịch vụ giao hàng tận nơi của chúng tôi luôn sẵn sàng hỗ trợ bạn một cách nhanh chóng và chuyên nghiệp. Hãy liên hệ ngay để nhận báo giá chi tiết và khám phá các sản phẩm hóa chất phù hợp nhất với nhu cầu của doanh nghiệp. Cảm ơn bạn đã chọn NAM BINH CHEMICAL
Nếu có bất kỳ thắc mắc nào liên quan đến Toluene, Quý khách vui lòng liên hệ Nam Bình qua hotline 0905 882 080 (Mr Nhựt), 0934 588 817 (Mr Trình)
Xem thêm: hóa chất polyethylene glycol 400